Sambutan yang hangat di laman web kami. Anda berada di tempat yang betul untuk mencari maklumat mengenai Contoh rekomendasi peil banjir. Artikel berikut akan mengupas mengenai Surat pengantar banjir, kajian teknis peil banjir dan penataan drainase pt. indofood cbp sukses, contoh surat bencana banjir isabelleminmathis riset. Artikel juga dilengkapi dengan gambar-gambar yang menyokong Contoh rekomendasi peil banjir yang telah diterangkan sebelum ini dan pautan ke sumber artikelnya. Selamat membaca!

Contoh Surat Pemenuhan Komitmen Oss Terbaru. - Muat Turun
![]()
(DOC) Contoh Keterangan Peil Banjir Pemerintah Kota Makassar. Banjir peil keterangan makassar pemerintah - Muat Turun

Contoh Analisis Kajian Quinzio Milanesi. - Unduh
Surat Keterangan Bebas Banjir. - Simpan

Surat Permohonan Peil Banjir IMAGESEE. - Simpan
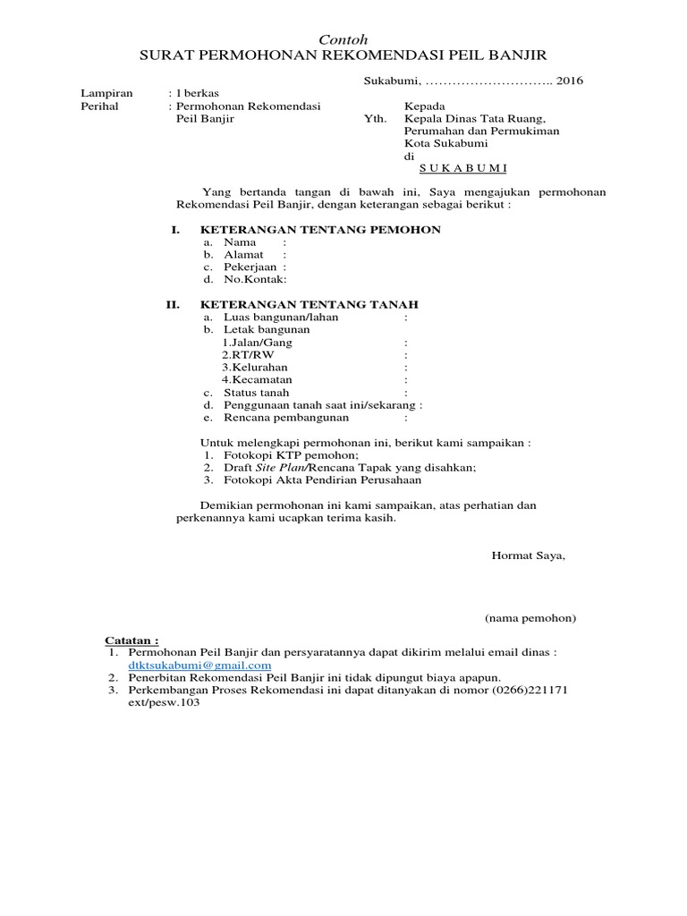
Surat Permohonan Rekomendasi Peil Banjir PDF. - Download

Contoh Surat Rekomendasi Peil Banjir Delinewstv. - Muat Turun
Contoh Keterangan Peil Banjir Pemerintah. Banjir peil pemerintah keterangan metode - Simpan

Surat Pengantar Banjir. - Simpan

Contoh Surat Rekomendasi Peil Banjir Delinewstv. - Download
![]()
Surat Keterangan Rt Bencana Banjir Kumpulan Contoh Surat. Banjir keterangan bencana contoh setinggi melanda terparah wilayah tergenang - Muat Turun
Contoh Surat Rekomendasi Peil Banjir Delinewstv. - Simpan

Contoh Laporan Kerja Pembersihan RomeojoysPhillips. - Download

Kajian Hidrologi Jasa Analisis Peil Banjir, Drainase Geochem Survey. - Unduh
Contoh Surat Rekomendasi Peil Banjir Delinewstv. - Unduh

Contoh Surat Permohonan Surat Rekomendasi IMAGESEE. - Simpan

Surat Keterangan Bebas Banjir. - Simpan

Contoh Surat Rekomendasi Peil Banjir Delinewstv. - Muat Turun

Contoh Surat Permohonan Ijin Penyalur Petir / Form Perizinan Penangkal. - Muat Turun
![]()
Contoh Surat Bencana Banjir Isabelleminmathis Riset. - Download

Surat Pengantar Banjir. - Download

Kajian Teknis Peil Banjir Dan Penataan Drainase PT. Indofood CBP Sukses. Peil banjir indofood makmur sukses tbk cbp divisi noodle kajian envirotech drainase penataan teknis kawasan cabang bandung alamat lowongan kp - Unduh

Contoh Laporan Bencana Banjir Laporan Ku. - Unduh
![]()
(PDF) Buku Pedoman Peil Banjir Final Riza Himawan Academia.edu. - Download
Rekom Peil Banjir PDF. - Simpan
PEIL BANJIR Perumahan Huyula Residencent Buhu PDF. - Download